zur vorherigen Seite   zum Inhaltsverzeichnis   zur nächsten Seite

Antwort:

Es wird eine Schleife verwenden, die 1, 2, 3, 4, 5 zählt und diese Werte multipliziert.

Flussdiagramm des Programms

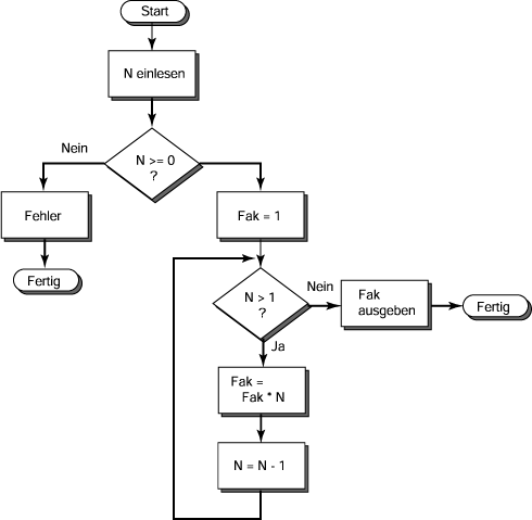
Eine andere Möglichkeit das zu tun, ist N als Zähler zu verwenden und ihn herunterzuzählen bis er 2 erreicht, also sind seine Werte: 5, 4, 3 und 2. Diese Werte werden einer nach dem anderen miteinander multipliziert. Es besteht keine Notwendigkeit mit 1 zu multiplizieren, also ist die Schleifenbedingung N > 1.

Das Flussdiagramm zeigt wie das Programm funktioniert. Zuerst überprüft es, ob N positiv ist. Wenn ja, berechnet es N!

Dieses Programm verwendet eine etwas trickreichere Logik als die vorherigen. Studieren Sie das Flussdiagramm, bis Sie sehen wie es funktioniert. Machen Sie sich keine Gedanken über die Details. Das Flussdiagramm sagt nichts darüber aus, in welcher Sprache das Programm geschrieben ist. Dasselbe Flussdiagramm könnte für jede Sprache verwendet werden.

FRAGE 7:

Gehen Sie gedanklich mit einigen Werten für N das Diagramm durch. Funktioniert es richtig für N == -5, N == 0, N == 1, N == 4 ???